Mô hình nghiên cứu khoa học là công cụ nền tảng giúp nhà nghiên cứu hình ảnh hóa các mối quan hệ logic giữa các yếu tố trong một đề tài. Việc xây dựng một mô hình chính xác không chỉ định hướng cho toàn bộ quá trình thu thập và phân tích dữ liệu mà còn là cơ sở để kiểm định các giả thuyết khoa học. Bài viết này sẽ phân tích sâu về cấu trúc và cách xác định các loại biến số cốt lõi trong nghiên cứu định lượng.

I. Tổng quan về Mô hình nghiên cứu khoa học
Trong phương pháp nghiên cứu khoa học, mô hình nghiên cứu (Research Model) là sự cụ thể hóa của khung lý thuyết. Đây là một sơ đồ hoặc hệ thống các khái niệm nhằm mô tả mối quan hệ nhân quả hoặc tương quan giữa các biến số mà nhà nghiên cứu dự định kiểm định.
Mục tiêu cốt lõi của mô hình là trả lời cho câu hỏi: “Yếu tố nào tác động đến yếu tố nào và tác động đó diễn ra như thế nào?”. Một mô hình chuẩn xác phải được xây dựng dựa trên sự tổng quan tài liệu (Literature Review) kỹ lưỡng và các lý thuyết nền tảng đã được công nhận, đảm bảo tính logic và khả thi trong việc đo lường.
II. Các thành phần cốt lõi của Mô hình nghiên cứu
Một mô hình nghiên cứu định lượng điển hình được cấu thành từ các biến số (Variables). Việc định danh chính xác vai trò của từng biến là bước quan trọng nhất để thiết lập giả thuyết.
1. Biến độc lập (Independent Variable)
Biến độc lập, thường được ký hiệu là X, là yếu tố nguyên nhân hoặc yếu tố dự báo. Trong mối quan hệ nhân quả, đây là biến số xuất hiện trước và sự thay đổi của nó sẽ dẫn đến sự thay đổi của biến khác.
- Bản chất: Là biến tác động.
- Ví dụ thực tế: Trong đề tài nghiên cứu về hành vi tiêu dùng, “Chất lượng dịch vụ” là biến độc lập tác động đến sự hài lòng.
2. Biến phụ thuộc (Dependent Variable)
Biến phụ thuộc, ký hiệu là Y, là kết quả hoặc yếu tố chịu sự tác động. Đây là đối tượng chính mà nhà nghiên cứu mong muốn giải thích hoặc dự báo sự biến thiên của nó.
- Bản chất: Là biến chịu tác động (kết quả).
- Mối quan hệ X -> Y: Nếu “Chất lượng dịch vụ” (X) tăng, thì “Sự hài lòng của khách hàng” (Y) sẽ thay đổi theo một chiều hướng nhất định (thường là thuận chiều).
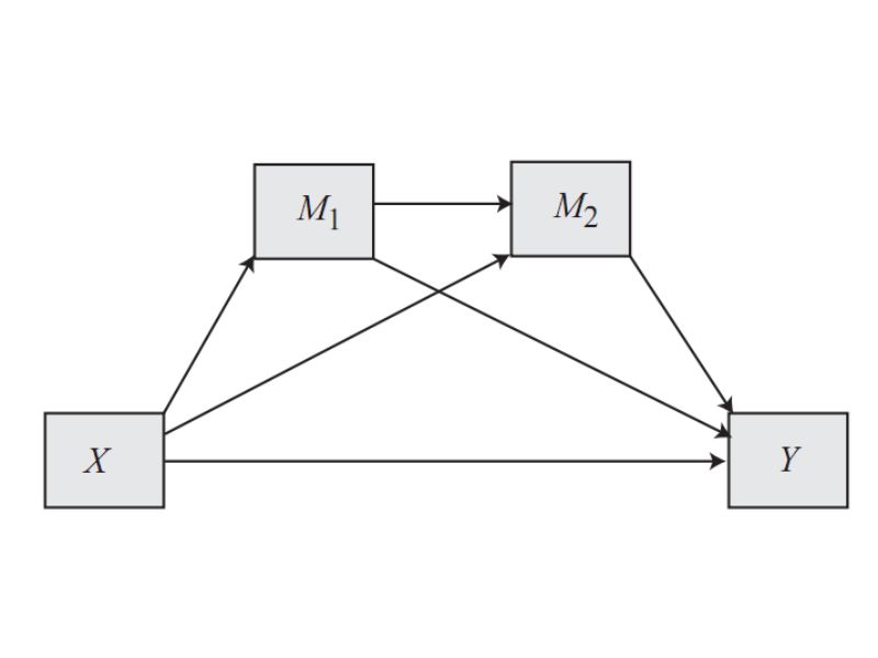
3. Biến trung gian (Mediator Variable)
Biến trung gian, ký hiệu là M, đóng vai trò là cầu nối giải thích tại sao hoặc như thế nào biến độc lập tác động lên biến phụ thuộc. Biến này chịu tác động từ X và sau đó tác động lên Y.
- Cơ chế: X -> M -> Y.
- Ví dụ: “Chi phí quảng cáo” (X) tác động đến “Doanh thu” (Y). Tuy nhiên, quảng cáo không trực tiếp tạo ra tiền ngay lập tức, mà nó làm tăng “Nhận diện thương hiệu” (M). Khi nhận diện thương hiệu tăng, khách hàng mua nhiều hơn, dẫn đến doanh thu tăng. Lúc này, “Nhận diện thương hiệu” là biến trung gian.
4. Biến điều tiết (Moderator Variable)
Biến điều tiết, ký hiệu là Z, là yếu tố làm thay đổi cường độ hoặc chiều hướng của mối quan hệ giữa biến độc lập và biến phụ thuộc. Nó trả lời cho câu hỏi “Khi nào” hoặc “Đối với ai” thì mối quan hệ đó mạnh hay yếu.
- Cơ chế: Z tác động vào mũi tên quan hệ giữa X và Y.
- Ví dụ: Mối quan hệ giữa “Thâm niên làm việc” (X) và “Lương thưởng” (Y) có thể mạnh hơn đối với nhân viên có “Trình độ học vấn cao” (Z) và yếu hơn đối với nhân viên có trình độ thấp. Lúc này, “Trình độ học vấn” là biến điều tiết.
5. Biến quan sát (Observed Variable)
Trong các mô hình nghiên cứu sử dụng thang đo (như Likert), các khái niệm nghiên cứu (như “Sự hài lòng”, “Lòng trung thành”) thường là các biến tiềm ẩn (Latent Variables) – tức là không thể đo trực tiếp bằng một con số đơn lẻ.
Biến quan sát là các chỉ báo cụ thể dùng để đo lường biến tiềm ẩn đó. Thông thường, đây chính là các câu hỏi cụ thể trong bảng khảo sát. Tập hợp các biến quan sát sẽ tạo thành thang đo cho một khái niệm nghiên cứu.

III. Phân biệt Biến Trung gian và Biến Điều tiết
Sự nhầm lẫn giữa biến trung gian và biến điều tiết là lỗi sai phổ biến nhất trong quá trình xây dựng mô hình. Dưới đây là bảng đối sánh dựa trên bản chất thống kê và ý nghĩa nghiên cứu:
| Tiêu chí | Biến Trung gian (Mediator) | Biến Điều tiết (Moderator) |
| Vai trò | Là cơ chế truyền dẫn tác động. Giải thích “Tại sao”. | Là điều kiện biên. Giải thích “Khi nào/Cho ai”. |
| Vị trí trong mô hình | Nằm giữa X và Y (X -> M -> Y). | Tác động vào mối quan hệ giữa X và Y. |
| Quan hệ với X | Phải chịu tác động từ X (X tác động lên M). | Không nhất thiết chịu tác động từ X. Biến điều tiết thường độc lập với X. |
| Mục tiêu kiểm định | Kiểm định cơ chế nhân quả gián tiếp. | Kiểm định sự khác biệt về tác động giữa các nhóm hoặc điều kiện. |
IV. Quy trình 5 bước xây dựng Mô hình nghiên cứu chuẩn khoa học
Để đảm bảo tính logic và được hội đồng khoa học chấp nhận, quy trình xây dựng mô hình cần tuân thủ 5 bước sau:
- Xác định vấn đề và mục tiêu nghiên cứu: Làm rõ đối tượng nghiên cứu là gì và bạn đang muốn giải quyết câu hỏi nào.
- Tổng quan tài liệu (Literature Review): Tìm kiếm các nghiên cứu trước đây, các lý thuyết nền tảng (ví dụ: Lý thuyết hành vi TPB, Mô hình chấp nhận công nghệ TAM…) để xem các biến số nào đã được chứng minh là có mối quan hệ.
- Xác định biến số và phát triển giả thuyết: Dựa trên cơ sở lý thuyết, lựa chọn các biến độc lập, phụ thuộc, trung gian, điều tiết phù hợp và đặt ra các giả thuyết (H1, H2, H3…). Các giả thuyết phải là câu khẳng định có thể kiểm chứng (ví dụ: “X tác động thuận chiều đến Y”).
- Vẽ sơ đồ khung khái niệm (Conceptual Framework): Sử dụng các hình hộp (đại diện cho biến) và mũi tên (đại diện cho giả thuyết tác động) để minh họa mô hình.
- Thao tác hóa khái niệm (Operationalization): Xác định các biến quan sát (thang đo) để đo lường cho từng biến số trong mô hình. Đây là bước chuẩn bị cho việc thiết kế bảng câu hỏi.

V. Các câu hỏi thường gặp (FAQs)
Mô hình nghiên cứu có bắt buộc phải có biến trung gian không?
Không. Một mô hình cơ bản có thể chỉ bao gồm biến độc lập và biến phụ thuộc. Tuy nhiên, việc bổ sung biến trung gian giúp giải thích sâu hơn về cơ chế của mối quan hệ, làm tăng giá trị khoa học của đề tài.
Làm sao để biết một biến là biến điều tiết?
Nếu lý thuyết hoặc thực tế gợi ý rằng mối quan hệ giữa X và Y không đồng nhất trong mọi trường hợp (ví dụ: mạnh ở nam, yếu ở nữ; hoặc mạnh khi kinh tế tốt, yếu khi kinh tế suy thoái), thì yếu tố tạo ra sự khác biệt đó (Giới tính, Tình trạng kinh tế) chính là biến điều tiết.
Sự khác biệt giữa biến tiềm ẩn và biến quan sát là gì?
Biến tiềm ẩn là khái niệm trừu tượng (ví dụ: Niềm tin, Thái độ). Biến quan sát là dữ liệu cụ thể đo lường được (ví dụ: điểm số câu trả lời từ 1 đến 5 trong bảng khảo sát).
Việc xây dựng mô hình nghiên cứu khoa học không chỉ là vẽ ra các ô và mũi tên, mà là quá trình biện giải logic dựa trên cơ sở lý thuyết vững chắc. Việc phân định rạch ròi giữa biến độc lập, phụ thuộc, trung gian và điều tiết là yếu tố tiên quyết để đảm bảo độ tin cậy của kết quả kiểm định thống kê sau này. Các nhà nghiên cứu và doanh nghiệp cần nắm vững cấu trúc này để đưa ra các quyết định dựa trên dữ liệu chính xác.
Để tìm hiểu thêm về các chiến lược áp dụng mô hình nghiên cứu vào quản trị doanh nghiệp và marketing thực chiến, bạn có thể tham khảo các chia sẻ chuyên sâu từ Nguyễn Thanh Phương.




